술 먹고 난 다음에 속이 쓰릴 때가 많습니다.
아무래도 과음을 했다거나 스트레스를 많이 받으면 위장이 약해질 수 있잖아요.
그때 속쓰린 걸 좀 줄이고자 뭐라도 먹으려고 하는데, 그때 딱 떠오를 수 있는 게 겔포스입니다.
겔포스는 짜먹는 제산제라서 위산이 많이 나와서 속을 콕콕 찌를 때 복용한 일이 많거든요.
물론 알약으로 된 제산제도 있지만, 겔포스 시리즈가 뭔가 금방 작용할 거 같고...


그래서 어떤 사람들은 술 먹기 전에, 위장벽 보호를 해줘야한다고 미리 겔포스를 복용한다고도 하시더라고요.
근데 좀 의문이죠?
술약을 달라고 하면 약국에서, 삼두해정탕이나 다른 약물 조합을 주잖아요.
만일 겔포스가 도움이 되었다면, 술 먹기 전후로 겔포스를 줬을텐데 말이죠.
그리 구하기 어려운 약도 아니고, 일반의약품이기 때문에 따로 처방전이 필요한 것도 아니니까요.
https://kevinluo.tistory.com/97
술먹고 토할 때, 피똥 쌀 때, 약국에서 사먹은 술약 주증황련환
친구들이랑 어저께 오뎅탕에 소주를 몇 병 마셨는데 다음날 죽는 줄 알았습니다.술을 자주 마시는 사람이 아니라서 그런지, 가끔 술을 이렇게 거하게 마시면 정말 힘들더라고요.친구들이랑 저
kevinluo.tistory.com
술 마시기 전후로 겔포스 마셔도 될까?
결론적으로 말씀드리자면, 겔포스가 술독이 생기는 것을 막아주지도 않고, 숙취 해소에 도움을 주지도 않습니다.
왜냐하면 겔포스는 제산제이기 때문에 위산을 중화시키는 효과를 가져다 줄 뿐이지, 알코올이 대사되면서 생기는 아세트알데하이드의 분해를 촉진시켜주지 않기 때문이죠.
물론, 술을 아주 많이 마셨을 때 생길 수 있는 위벽 손상을 좀 보호해줄 수 있고, 시메티콘이라는 성분 덕분에 뱃속에 가스가 차는 것도 완화해주기는 합니다.
또한, 술 마시기 전에 겔포스 현탁액을 마시면 술의 흡수가 더뎌질 거라고 생각하시는 분도 있는데 그것도 좀 잘못된 생각입니다.
왜냐하면 술은 대부분 소장에서 흡수가 일어나기 때문에 겔포스가 주로 작용하는 위장에서는 그다지 큰 역할을 하지 못하기 때문입니다.
따라서, 술 마시기 전후로 숙취 해소 촉진이나 소화기관 보호로 겔포스를 마시는 것은 그다지 추천되지 않습니다.


겔포스 성분은?
일반의약품으로 구하기 쉬운 겔포스 시리즈는 바로 겔포스엘입니다.
바나나 향이 나는 겔포스로, 비교적 구하기가 쉬운 약물이죠.

여기에 들어있는 주된 성분은 크게 4가지로 다음과 같습니다.
| 구분 | 함량 | 세부 사항 |
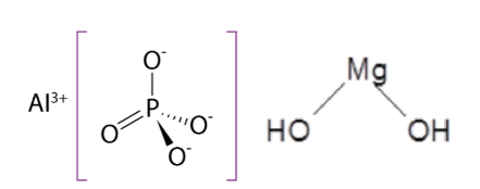
| 인산 알루미늄 겔 | 12.5g | 위산 중화 |
| 수산화 마그네슘 | 2g | 위산 중화 |
| 시메티콘 | 0.225g | 가스 제거 |
| DL-카르니틴 염산염 | 0.75g | 소화 능력 개선 |
가장 중요한 성분은 역시 제산제 성분으로서, 인산 알루미늄겔과 수산화 마그네슘입니다.

여기에 들어있는 겔은 펙틴(pectin)과 Agar-agar 복합 콜롤이드성 제제로서, 위점막에 산이 작용하는 공격 효과를 줄여주고, 콜로이드상으로 분산상을 이루고 있는 형태의 제제는 장내 이상발효 가스나 독소, 세균, 바이러스 등을 흡착시킨 후 대변을 ㅗ빠져나가는데 도움을 줍니다.
보통 마그네슘이랑 알루미늄을 왜 같이 넣었냐고 물어보시기도 합니다.
이것은 마그네슘은 설사를 유발하고, 알루미늄은 변비를 유발하는 부작용이 있기 때문에 이 2가지를 모두 써서 대변 문제를 완화해주는 것이죠.


'일반의약품' 카테고리의 다른 글
| 니코레트 씹고 심장 두근거려서 잠을 못잤네요. 약국 금연껌 부작용 미리 체크해둬야 할 듯 (0) | 2025.07.05 |
|---|---|
| 노래 많이 불러서 목 쉬었을 때, 향성파적산과 청화보음탕 조합이 개인적으로 제일 낫더라 (0) | 2025.07.04 |
| 구축 아파트 1층 개미 퇴치 약 맥스포스, 여왕개미 죽이기 딱 좋음 (2) | 2025.07.04 |
| 약국에서 눈 다래끼 빨리 낫는 법 : 형개연교탕 + 항생제 안약 (1) | 2025.07.03 |
| 역류성 식도염에 개비스콘 처방 나오긴 하나? (0) | 2025.07.02 |